The APSC has released the answer keys for all the sets of APSC PWD JE Civil 2025 held on 20th July 2025, Sunday…
But as usual, there are a few questions whose answer keys need to be objected.
How to get specific documents for objections of answers of PWD JE Civil?
If you are finding for specific documents to claim your answers, you are at the right place. We are providing you the necessary documents, at best we can.
See the question and just download the PDF file and use it to claim your answer.
(I am using Set B, check the question numbers as per your set and the answers marked in yellow are the answers as per APSC answer key.)
According to Standards, answer is (B) 12
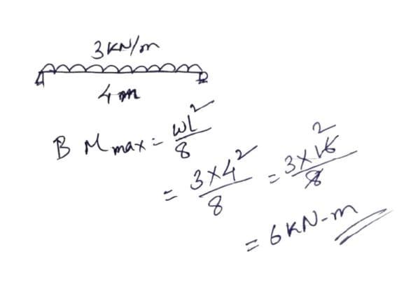
Question 9 of Set B
The correct answer is A. 6 kN m
See Solution

Question 12 of Set B
The correct answer is (C)
Question 13 of Set B
The correct Answer is (B)
Question 14 of Set B
The correct answer is (C)
Question 27 of Set B
The correct answer is (C)
You will not find any direct document to this. This the best you could give.
Question 39 of Set B
The correct answer is (A)
See Document(Source: Earthquake Resistant Design by Pankaj Agarwal)
Question 46 of Set B
The correct answer is (D)
See Document(Source: Highway Engineering by Khanna and Justo)
Question 52 of set B
The correct answer is (C)
Question 59 of Set B
The correct answer is (A)
Question 34 of Set B, not specific
Correct answer may be (B) as specific use not mentioned
How to download the specific documents to claim answers for APSC PWD JE 2025?
Please refer to the video below



